Του Φώτη Φωτεινού
Εκατοντάδες εκατ. ευρώ και συγκεκριμένα σχεδόν 700 εκατ. ευρώ σε 16 έργα στον τομέα των μεταφορών στην Ελλάδα έχει χρηματοδοτήσει η ΕΕ από το 2014 έως και σήμερα, όπως άλλωστε δήλωσε και ο εκπρόσωπος της Ευρωπαϊκής Επιτροπής, αρμόδιος για θέματα μεταφορών, Ανταλμπέρ Γιανς.
Σημειώνεται πως τα συγχρηματοδοτούμενα σιδηροδρομικά έργα τα διαχειρίζεται η ΕΡΓΟΣΕ, η οποία αποτελεί θυγατρική εταιρεία του ΟΣΕ που συστάθηκε το 1996.
Από την ίδρυσή της, η ΕΡΓΟΣΕ διαχειρίστηκε το σύνολο των έργων εκσυγχρονισμού των σιδηροδρομικών γραμμών και εγκαταστάσεων του ΟΣΕ που συγχρηματοδοτήθηκαν από το Β’ και Γ’ ΚΠΣ, καθώς και από το Α’ Ταμείο Συνοχής.
Η ΕΡΓΟΣΕ διαχειρίζεται τα έργα εκσυγχρονισμού των σιδηροδρομικών γραμμών και εγκαταστάσεων του ΟΣΕ που συγχρηματοδοτούνται από τα Επιχειρησιακά Προγράμματα του Εθνικού Στρατηγικού Πλαισίου αναφοράς (ΕΣΠΑ) 2007 – 2013, καθώς και έργα με αμιγώς εθνική χρηματοδότηση που σχετίζονται άμεσα με τις επενδύσεις των συγχρηματοδοτούμενων Προγραμμάτων.
Επίσης, διαχειρίζεται τα έργα που θα συγχρηματοδοτηθούν από Προγράμματα της 5ης Προγραμματικής Περιόδου, δηλαδή του Εταιρικού Συμφώνου για το Πλαίσιο Αναφοράς (ΕΣΠΑ) 2014-2020 καθώς και του Χρηματοδοτικού Μηχανισμού "Συνδέοντας την Ευρώπη" (Connecting Europe Facility- CEF) 2014 - 2020.
Η επίμαχη σύμβαση 717 και η ανάγκη διαλειτουργικότητας με το σύστημα ETCS
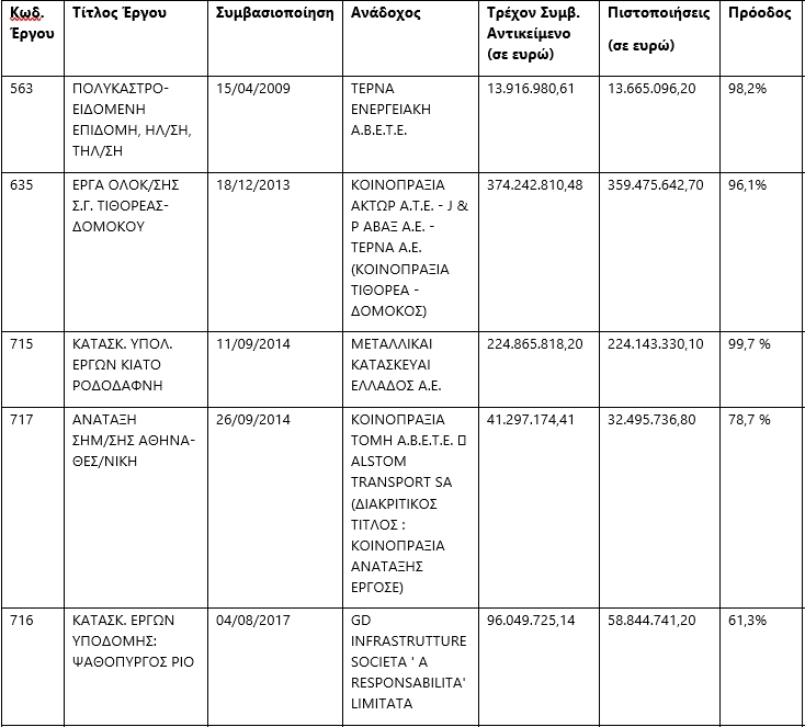
Από τα έργα αυτά, το επίμαχο έργο αναφέρεται στη σύμβαση 717 "Ανάταξη και Αναβάθμιση του συστήματος Σηματοδότησης - Τηλεδιοίκησης και Αντικατάστασης 70 Αλλαγών Τροχιάς σε Εντοπισμένα Τμήματα του Άξονα Αθήνα – Θεσσαλονίκη – Προμαχώνας", ύψους 41,3 εκατ., με αναδόχους την Τομή και την Alstom και τη συμπληρωματική σύμβαση 717/1 "Ανάταξη Σηματοδότησης – Τηλεδιοίκησης Αθήνα Θεσσαλονίκη Προμαχώνας", με τους ίδιους αναδόχους και ύψους, 13,2 εκατ.
Σύμφωνα με την επίσημη ιστοσελίδα της ΕΡΓΟΣΕ, η πρώτη σύμβαση υπογράφτηκε το 2014 και η δεύτερη το 2021, έχοντας υλοποιηθεί σήμερα στο 78,7% και στο 16,9% αντίστοιχα.
Εάν είχαν υλοποιηθεί οι συμβάσεις αυτές και εφόσον λειτουργούσαν σήμερα (τουλάχιστον) τα συστήματα για το ETCS – 1, οι οποίες υπογράφηκαν το 2007 και ολοκληρώθηκαν (σύμφωνα πάντα με την ΕΡΓΟΣΕ) το 2015 και το 2020, τότε το μοιραίο δυστύχημα δεν θα είχε πραγματοποιηθεί.
Αυτό, διότι το ETCS (European Train Control System) περιλαμβάνει τον Κεντρικό Ζωτικό Επεξεργαστή (EVC) των συρμών, σύστημα οδομέτρησης που μετρά την ταχύτητα και τη διανυόμενη απόσταση, σύστημα επικοινωνίας μηχανής – μηχανοδηγού και καταγραφικό ληφθέντων σημάτων γραμμής και ενεργειών μηχανοδηγού, κάτι το οποίο σημαίνει ότι οι τραγικοί χειρισμοί του σταθμάρχη θα είχαν γίνει αντιληπτοί από όλους.
Τα κυριότερα έργα που διαχειρίζεται η ΕΡΓΟΣΕ
Το Τρέχον Συμβασιοποιημένο Αντικείμενο, αφορά το συνολικό ύψος της σύμβασης, οι Πιστοποιήσεις αφορούν το ύψος των πιστοποιημένων εργασιών, ενώ στο τέλος το ποσοστό 0% αναφέρεται σε έργα που έχουν συμβασιοποιηθεί το τελευταίο διάστημα.







Σχόλια